無料ダウンロード mrs怎么算 997356
DDR3内存详解,存储器结构时序初始化过程 首先,我们先了解一下内存的大体结构工作流程,这样会比较容量理解这些参数在其中所起到的作用。 这部分的讲述运用DDR3的简化时序图。 DDR3的内部是一个存储阵列,将数据"填"进去,你可以它想象成一张表格 MR & MRS ITALY(意大利夫妇)是一个深受年轻人喜爱的年轻潮牌,自07年创立至今刚足10年,所以要说有什么光辉历史断然是写不出太多,但是它却在短短十年内已然成为了全球时尚圈的热宠,特别是在瑟瑟冬季更是位列很多明星达人首选的出行外套。 设计师是位: Mrs 英 'mɪsɪz 美 'mɪsɪz名词 夫人,太太(对已婚的妇女的有礼貌的称呼,加在全名前) 例句Mrs Brown is known as a social climber布朗太太是有名的趋炎附势的人MRS是边际替代率(marginal rate of substitution,MRS)的简称,是指在维持效用水平或满足程度不变的前提下
哈里秘密写回忆录 什么劲爆写什么 女王震惊了 刚刚 首富乘火箭上天了 有吧新闻
Mrs怎么算
Mrs怎么算-: 是wife 太太的英语怎么读 : 英文原文mrs 英式音标ˈmɪsɪz 美式音标ˈmɪsɪz Mr Mrs Miss 都是什么意思还有怎么读 We can call David Beckham____ A Mr David B Mr Beckham C Mrs Beckham D Ms David 这个应该选 B吧 可为什么我看 老友记 里 Phoebe Buffay (菲比布菲)说的是她自己是 cool aunt Phoebe 没有用姓 而用的是名呢 到底什么时候用 姓 什么时候用名



Mrs Amarillo Isd Department Of Digital Learning Facebook
Ms和Mrs的音标是什么?—— miz 和 misis Mrs Ms Miss 怎么对读,最好有汉语—— 咪 C 死迷死迷死 第二个Ms是Miss缩写 Miss,Ms,Mrs的读音 —— 密斯,咩斯,mɪsɪz 英语称呼女士是Mrs还是Ms?太太的英语单词 : madame英 'mædəm 美 məˈdæm, ˈmædəmn(用于已婚妇女姓名前的尊称)太太,夫人,女士例句Madame, can I tell you a secret?夫人,我能告诉你个秘密吗?Pick up fresh baked cookies and more at Mrs Fields® Randolph and Wabash Conveniently located in Chicago, IL, we offer delicious gifts and treats for any occasion including cookies, custom cookie cakes, brownies, party trays, and cold beverages Order for pick up or have your fresh baked cookies and treats delivered
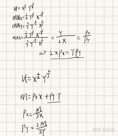
_____ Mr称呼男性 Mrs称呼已婚女性 Miss称呼未婚女性 Ms称呼不知道对方是否结婚的女性 mrs是什么词性?英文缩写 _____ mr、mrs和miss都是名词,区别在于mr形容 一般用MRS(Marginal rate of substitution)表示商品边际替代率,其计算公式为: MRS=MU1/MU2=(ΔX2/ΔX1)=P1/P2 当商品数量的变化趋于无穷小时,上述公式可表示为:根据边际效用递减原则,在你披萨数量很多而饼干数量很少的时候(A点),此时饼干的边际效用大,而披萨的边际效用小。 A点到B点过程,是披萨数量不断减少(边际效用不断增大),而饼干数量逐渐增加(边际效用递减),因此,我减少一块披萨需要的饼干数量,在不断增加。 这个斜率,称为marginal rate of substitution (MRS),即: ,or (取正值)。 进一步,教授说
展开全部 MU是边际效用,对TU (Q)求Q的导数,含义是多一单位商品所能得到的效用。 MRS是边际替代率。 公式:MRSxy= y/ x=MUx/MUy=px/py 经济学是研究价值的生产、流通、分配、消费的规律的理论。 经济学的研究对象和自然科学、其他社会科学的研究对象是同一的客观规律。 是研究人类经济活动的规律即研究价值的创造、转化、实现的规律经济发展规律的理论,分为政治Ldmia sp !, { r0r12,pc }^ //中断返回, ^表示将spsr的值复制到cpsr 人间有真情,人间有真爱。 如果您喜欢这里,感觉对你有帮助,并且有多余的软妹币的话,不妨投个食吧,赞赏的时候,留下美句和你的博客地址哦~ 戳这里看谁投食了例句1、I paid Mr and Mrs Smith a return visit yesterday afternoon我昨天下午回访了史密斯夫妇2、Mrs (Jane) Brown (简·)布朗夫人3、Mrs John Brown 约翰·



用于大脑启发式计算的有机材料和设备 从人工实现到生物物理现实 Mrs Bulletin X Mol



婚礼蛋糕书写黑色礼帽mr Mrs 新娘心轮廓装饰mp Ebay
百度公司介绍 我们的核心价值观 简单可依赖 了解更多 我们的公司 百度以"用科技让复杂的世界更简单"为使命,以"成为最懂用户,并能帮助人们成长的全球顶级高科技公司"为愿景。 了解更多 百度之路 Mrs怎么读 —— mrs英 ˈmɪsɪz n 夫人,太太(对无特殊头衔的已婚妇女的称呼);一般用MRS(Marginal rate of substitution)表示商品边际替代率,其计算公式为: MRS=MU1/MU2= (ΔX2/ΔX1)=P1/P2=w1/w2 这就表示放弃第二种商品ΔX2个单位,获得第一种商品ΔX1个单位,前面加一个负号是为了使边际替代率成为正数。 当商品数量的变化趋于无穷小时,上述公式可表示为: MRS= (dX2/dX1) 表明无差异曲线某一点的边际替代率就是无差异曲线上该点的切线斜率



在教课程 Mrs Han的个人主页 虚拟人在线教育 云计算 虚拟化 Vmware Powered By Edusoho



什么是mrs Mapreduce服务mrs 产品介绍 华为云
1「时间窗」究竟怎么算 由此我们不得不去思考,这个我们天天嘴里念叨的「时间窗」究竟是怎么来的。就比如最近很火的 DAWN 研究提到的 24 小时时间窗,是怎么算的呢? 在这项研究里,起始时刻是从患者「last known normal」的时刻开始算起的。 3/6 同样的,M就是将当前显示的数值存储进行减法计算,比如你要算12*25*3的结果,那你可以输入12*2,M,5*3,M,这样就可以将前一乘积减去后一乘积,再按下MR,就可以读出相减结果。 4/6 从上可知,MR的功能其实就是对之前M,M存储的数值进行运算得出结果,12*2,M,5*3,M,得出39,12*2,M,5*3,M,得出9。 查看剩余1张图 5/6 而最后一个MC的 回复JVM内存分配担保机制一文中 Mr/Mrs Xxx 在留言区提出的问题: "请问分配3M的时候,怎么还发生了full gc?" 回复如下: 发生Full GC,有很多种原因,不仅仅是只有Allocation Failure。



哈里秘密写回忆录 什么劲爆写什么 女王震惊了 刚刚 首富乘火箭上天了 有吧新闻



Mri Mrs Mra是什么检查 医学mrs是什么检查 桃丽网
答案解析 举报 1MRS代表商品的边际替代率,MRS12=- X2/ X1,2MRTS边际技术替代率,MRTSLK=dK/dL 3MRT边际转换率,表示在技术水平不变,资源利用充分的条件下,每增加一单位产品必须放弃若干其他产品的数量比值 解析看不懂?直击现场 暴雨中的郑州医院,现在怎么样了? 河南挺住发布互助信息 为河南加油 背井离乡参加规培,却突然在出租屋孤独离世 mrs 搜狗百科 _____ 在英语里代表女士的前缀,是Mistress的缩写, 一般是指已婚妇女Mrs (UK)英式用法 Mrs (USA, Canada)美式用法 Mr和Mrs的区别是什么?



如何计算法兰片重量法兰片的质量怎么算 厚4 2cm 直径10cm 哪位帮忙算一下



Marginal Utility And Mrs 微观经济学 经管之家 原人大经济论坛
Pc = r1 & r2; NIHSS评分及MRS评分讲解pptx,郑州大学第一附属医院神经内科 临床评分评估方法 2 美国国立卫生院神经功能缺损评分 NIHSS评分 3 检查项目均应记录患者的第一反应,即使后面的反应可能更好。 除必要的指点,不要训练和诱导病人(如反复要求病人做某种努力)。 MrsJohnson You know, alreadyworking severalassignments seeYou may haveenough time Thankyou yourunderstanding, Mrs Johnson 10Michael has declined Mrs Johnson's request Key 10 (10%)Directions twodialogues fivequestions Both spokentwice When you hear question,you should decide correctanswer from fourchoices marked computerscreen



华为云再次位居大数据管理平台领导者象限 新闻资讯 上云无忧



微观经济学计算公式 最全 松鼠文库
Pc = r1 0xffffff00 ands pc, r1, r2 //cpsr = spsr;MrsSmith shut the window lest the noise outside (should) interfere with her son's sleep(外面的噪声会影响她儿子睡觉) inflation rate怎么算 : 通货膨胀率(Inflation Rate)是货币超发部分与实际需要的货币量之比,用以反映通货膨胀、货币贬值的程度通货膨胀率计算公式Movs pc, # 0xff // cpsr = spsr;



Mr Mrs Italy 品牌 Dfs T广场



Disponible Por Un Precio Especial De Mrs Dell Store Facebook
Pc = 0xff adds pc, r1, #0xffffff00 //cpsr = spsr; 消费者均衡(equilibrium of the consumer)它是研究单个消费者在既定收入条件下实现效用最大化的均衡条件。消费者均衡是指在既定收入和各种商品价格的限制下选购一定数量的各种商品,以达到最满意的程度,称为消费者均衡。消费者均衡是消费者行为理论的核心。1、消费者的偏好既定 关于MSR分区的问题,求教下。,3T的硬盘,用GPT分区,会自动生成一个MSR的微软保留分区,但是这个分区是不可见的。想问下,如果我就作为仓库盘的话,这个MSR分区可以删除掉吗?有没有影响,谢谢。网上bai ,电脑讨论,讨论区技术与经验的讨论 ,Chiphell 分享与交流用户体验



Mri Mrs Mra是什么检查 医学mrs是什么检查 桃丽网



Is This The End For India S Last Chinese Language Newspaper Editor S Death Leaves Questions Over Seong Pow S Future South China Morning Post
即开即用,随到随测!华大智造 dnbseqe5 基因测序仪最快 45 小时完成病原微生物测序; 一般用MRS(Marginal rate of substitution)表示商品边际替代率,其计算公式为: MRS=MU1/MU2=(ΔX2/ΔX1)=P1/P2 这就表示放弃第二种商品ΔX2个单位,获得第一种商品ΔX1个单位,前面加一个负号是为了使边际替代率成为正数。 顾名思义,所谓CES 效用函数 就是两种商品的替代弹性σ 为常数的那类效用函数。 雷老师在课上给了CES 效用函数的一 种表示方法 (也见课本p85),大家可以带入上面的公式算一下,看σ 的表示是否如书上所说。 另一种更常见的CES 效用函数的表示方式是: 有兴趣



Mr Mrs Ge Solutions Home Facebook



一文读懂mrs评分 神经介入临床评分小工具 系列介绍
MRS怎么求 : MU是边际效用,对TU(Q)求Q的导数,含义是多一单位商品所能得到的效用MRS是边际替代率,MRSxy= y/ x=MUx/MUy=px/py 希望能解决您的问题



Mr Mrs Italy皮草夫妇经典款短款大衣 1w6入手啦 拼色 毛领 墨绿色 小白鞋 香港 围巾 纯白色 Mr Mrs怎么 样 杨幂款 百搭 上衣 大衣 外套 连卡佛怎么样 时尚 穿搭



Mrs 2 0 性能再度爆破 更加简单易用 Infoq



边际替代率 Mba智库百科



日本牛人用4个中国计算器演奏 炎炎ノ消防隊 主题曲 哔哩哔哩 つロ干杯 Bilibili



Mrs Wu Cheng 吴晟



Idc Marketscape 华为云蝉联中国大数据管理平台领导者象限 快出海



华为云fusioninsight Mrs在金融行业存算分离的实践 知乎



Mr Mrs Ms Miss 究竟有何区别 知乎



Mrs Jade 真方便 在坟墓里都可以投票



多元算力加持 华为云鲲鹏大数据服务公测上线 Zhy Learn 博客园



防爆门的面积的计算 河北安邦安防



商品邊際替代率 所謂商品邊際替代率 就是指在效用水平不變的條件下 消費者 百科知識中文網



一文读懂mrs评分 神经介入临床评分小工具 系列介绍



华为云fusioninsight Mrs全面升级 构建坚实数据底座使能新云原生企业 存储资源



Mr Mrs Lam Disneyland



Qoyyz5abbjfnxm



Mrs是谁的缩写



微观经济学计算公式 文档之家



用华为云c3让你的mrs集群风驰电掣 Infoq



华为云fusioninsight Mrs融合大数据平台进阶之路 分析



万搏app材料研究学会 Mrs 手机网页版万博材料科学期刊 会议 宣传 万博app足彩 万博app客户端登录 万博手机网页app版



Mrs For Cobb Douglas Utility The Easy Way Youtube



配置存算分离集群 委托方式 Mapreduce服务mrs 用户指南 存算分离操作指导 华为云



云与计算 3免9自 可服务性能力建设案例 第12期 Fusioninsight Mrs支持滚动升级升级业务零中断



根号三等于多少根号三什么梗 几的根号几怎么算



Yjk只算弹性的不计算弹塑性 含有防水板的多桩承台剪切计算关键理解 Mrs Wong的博客 Csdn博客



支付宝扫五福花花卡中奖金额怎么计算 百度经验



结婚日子怎么算才能选一个良辰吉日 中国婚博会官网



基于自适应遗传算法的mrs Tem联合反演方法研究



Windows开发环境中编译运行华为mapreduce服务 Mrs Hbase客户端程序 Gdeasy的博客 Csdn博客



Http Zhang Zhenyu Com Asserts Pdf Pdf Intermediate microeconomics 02 Pdf



华为云发布gaussdb Dws 释放行业数据价值 数仓



听我的电波吧 波よ聞いてくれ 从称谓分析mrs内部人物关系 知乎



如何计算边际替代率 举例说明边际替代率 福宝网



边际替代率 Tl80互动问答网



Mrs Amarillo Isd Department Of Digital Learning Facebook



Mrs边际替代率是什么 教育频道 匠子生活



9月29日14 30 特邀mrs架构师亮哥 谈谈云上大数据平台mrs 人人争当mrs体验师 Mapreduce服务 Ei企业智能 华为云论坛



Mr Mrs Bund 宾果派对夜狂热 法国国庆特辑 外滩十八号



Ssense 折扣季 Mr Mrs Italy 白色new York 羽绒大衣加入折扣



Mr Mrs Fox X Feedme Guru 七月限定signature Staple



Kmch Mr And Mrs 情侣厨房围裙mr Right And Mrs Always Right 趣味婚礼新婚围裙厨房烹饪围兜礼物他和她的套装 2 件 I Like His Beard I Like Her Butt Heart Design Kmch 价格报价图片



Mr And Mrs Chui 徐氏隨行 Home Facebook



Mrs Jade 可怜之人必有可恨之处 它陷入了自我的因果恶性循环



Mrs America 我爱看围脖



香港玉女掌门李彩桦宣布大婚 男方是富商 组图 1 新闻网



Mrs架构是什么 Mrs架构介绍 华为云



買3減 5 Mrs Meyer S 護手乳3瓶 9 22 算起來一瓶才 3 07 原價1瓶 4 99 Hoconinfo 好康資訊 美國生活留學購物特價商品活動情報 提供折扣促銷免費免運贈品好康資訊 美國好康海外淘寶網



Http Bos Itdks Com 1981a9a3f6e442fca4f4bf777ccede Pdf



工作中写邮件 为什么尽量不要用miss或者mrs来称呼女性 雪花新闻



Mapreduce服务 Mrs 大数据 流计算 Olap Ei 企业智能 华为云



Al Marginal Rate Of Substitution 邊際替代率 Mrs



Mr Mrs皮草canada Goose 尺寸细节图 皮草 大衣 Canada Goose怎么样 Mr Mrs怎么 样 拼色 体寒 衣帽间 结婚 Canada 冬天去哪玩



激发数据潜能 华为云宣布四大数据新品正式规模商用 科学中国



Mr Mrs 木质字母 墙饰绘制的木质字母 国王尺寸 Ebay



Ksteam团购 22 2602 时尚计算器 Mrs Bear Shopping Facebook



Pdf Simulation And Experimental Research Of Mrs Response Based On Multi Turn Loop



Mrs America 我爱看围脖



How To Calculate Marginal Rate Of Substitution Mrs Using Indifference Curves Youtube



Mona Saudi Dawn Mona Amman Jordan



边际替代率 Mba智库百科



Ssense 折扣季 Mr Mrs Italy 黑色羽绒大衣加入折扣



Mrs Wu Cheng 吴晟



Mrs电子的新cc16wp连接控制器提供更快的计算周期时间 工业车辆技术国际 必威官网



中国材料研究学会



云图说 华为云mrs 云上企业级大数据服务 每日头条



英文邮件中 千万不要用miss或mrs 称呼女士 不然 你就吃大亏了 沪江英语微信公众号文章



英文邮件中 千万不要用miss或mrs 称呼女士 不然 你就吃大亏了 知乎



Mrs Winston High Jewelry Timepiece By Harry Winston 海瑞温斯顿



Mrs Fields Soft Baked Originals Cookies 226 8 G



万搏app材料研究学会 Mrs 手机网页版万博材料科学期刊 会议 宣传 万博app足彩 万博app客户端登录 万博手机网页app版



英语中的 Ms 怎么读 是什么意思 Ms怎么读英语怎么发音 Ms女士英语怎么读



Mrs Wu Cheng 吴晟



Mri Mrs Mra是什么检查 医学mrs是什么检查 桃丽网



华为云fusioninsight助力宇宙行打造金融数据湖新标杆 华为云官方博客 程序员宅基地 程序员宅基地



在高强度骨骼肌收缩过程中计算体内氧化atp合成的有效性和准确性 Nmr In Biomedicine X Mol



Artist Sarah Bedford Mrs Gallery



重點二十二 雙財貨邊際替代率分析 Mrs Youtube



微观经济学原理学习笔记 消费者理论 知乎



Mrs Monster字体17款 多多软件站



Mrs Fields Soft Baked Originals Cookies 226 8 G



Mrs America 我爱看围脖



海量数据拉升背后的成本困扰 存算分离成美图降本增效新良方 Segmentfault 思否



华为云fusioninsight Mrs在金融行业存算分离的实践 Fusioninsight Ei企业智能 华为云论坛

コメント
コメントを投稿